1.问题的提出
在采用闪光法测量材料热扩散系数过程中,诸如样品厚度和闪光脉冲加热能量这些试验参数的选择,使得测试人员最常面临的困惑就是试验参数选择合理性和测试结果的准确性,这种现象在实际测试中主要表现在以下几个方面:
对于相同材料和厚度的样品,设置不同闪光脉冲加热能量,往往会得到不同测试结果,无法判断加热能量参数选择的合理性和测试结果的准确性。对于未知材料,无法确定合理的样品厚度,往往造成不同样品厚度测试的热扩散系数有明显偏差。对于相同材料和厚度的样品,不同实验室采用不同型号闪光法仪器,经常会得出不同的测试结果,有时相互之间的偏差还很大。对于相同材料和厚度的样品,不同实验室采用相同型号闪光法仪器,也常会得出不同的测试结果。总之,由于存在以上困惑,这就需要开发出一种闪光法测试规范来准确测量热扩散系数,而最终得到的热扩散系数与闪光法仪器的试验参数无关。也就是说,希望采用任何正常的闪光法设备和任意试验参数,都可以测量得到准确的热扩散系数。
本文将介绍一种闪光法热扩散系数测试规范——闪光能量外推法,即在样品恒温阶段采用一系列不同大小的闪光脉冲加热能量进行测试,然后将相应的热扩散系数测试结果外推至零加热能量,由此准确得到与试验参数(样品厚度和加热能量)无关的热扩散系数准确值。
2.外推法的基本原理
众所周知,闪光法测试中,根据温升曲线计算得到的热扩散系数取决于测试条件,如脉冲加热能量和样品厚度。图 2-1显示了温升曲线和热扩散系数随温度的变化曲线。

图 2-1 (a)温升曲线和(b)在Tbase附
当在规定温度Tbase(脉冲加热前保持恒定)下进行激光测量时,样品温度会升高Tmax。热扩散系数是一种依赖于温度的物理性能,因此,样品背面温升曲线反映了测量过程中起始温度Tbase和最高温度Tmax之间热扩散系数的温度相关性,即闪光法热扩散系数测量结果是样品温度升高后的等效热扩散系数,而不是起始温度Tbase时样品的固有热扩散系数,由此所带来的误差就是等效热扩散系数与固有热扩散系数之间的差值,此差值就是常见闪光法热扩散系数测量误差的主要来源。
从图 2-1可以看出,当样品背面温升ΔT较大时,如果材料样品的热扩散系数对温度非常敏感,则等效热扩散系数与固有热扩散系数之间的差值将会较大。另外,较大ΔT可能会样品背温红外辐射器信号带来非线性影响,也会增大测量值偏差。
由此可见,由于背面温升ΔT的存在,对于某一样品厚度和加热能量下测试得到是等效热扩散系数,此等效热扩散系数取决于样品厚度、脉冲加热能量、脉冲光吸收率和样品体积热容。从理论上讲,背面温升ΔT越小,所测试的等效热扩散系数就越接近于固有热扩散系数。但在实际测试过程中,往往会选择较大的脉冲加热能量来获得漂亮的背面温升曲线,以提高背温信号的信噪比。由此可见,脉冲加热能量的大小与热扩散系数准确测量是一对矛盾。
为了解决上述试验参数对测量结果带来的影响,日本国家计量研究所(NMIJ)的Akoshima等人开发了一种外推法热扩散系数测试规范[1]。外推法的基本原理是在恒定温度Tbase下,假设样品厚度、脉冲光吸收率和样品体积热容不随温度发生改变,通过改变脉冲加热能量(即改变背面温升ΔT大小)测试得到一系列相应的等效热扩散系数。如图 2-2所示,以背面温升ΔT为横坐标、等效热扩散系数测量值为纵坐标,建立起等效热扩散系数与背面温升的线性函数关系,最终用此线性函数外推得到脉冲加热能量为零时的等效热扩散系数,由此认为此外推得到的热扩散系数即为样品材料在温度Tbase时的固有热扩散系数。

图 2-2 不同加热能量时的等效热扩散系
由此可见,通过外推法可以得到样品材料固有的热扩散系数,而且所得到的热扩散系数与样品厚度和脉冲加热能量无关,这样就可以在实际测试中消除了测试参数对热扩散系数测量结果的影响。
3.外推法的验证
为了全面验证外推法在闪光法热扩散系数测试中的有效性,日本国家计量研究所(NMIJ)和法国国家计量和测试实验室(LNE)开展了专门的比对测试研究[2],并计划将外推法补充到闪光法热扩散系数标准测试方法中。
对比测试选择了四种材料,分别是IG-110各项同性石墨、Armco铁、YSZ陶瓷和氮化硅,如图 3-1所示。这四种材料基本覆盖了10E-4~10E-6㎡/s范围的热扩散系数,并在脉冲光和探测光的透过性上非常有代表性,从而也代表了不同样品表面吸热涂层和遮光涂层的处理方式。

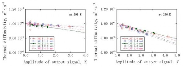
两个实验室分别在室温下分别对不同样品厚度的上述四种材料进行了测试,每种厚度样品采用不同脉冲加热能量测试表观热扩散系数,结果如图 3-2~图 3-5所示。然后针对每种厚度样品的表观热扩散系数测试结果计算获得零脉冲能量外推值。每个样品的外推值以及每个实验室的平均值和标准偏差如表 3-1所示。

图 3-2 两实验室分别在室温下对不同厚

图 3-3 两实验室分别在室温下对不同厚


图 3-5 两实验室分别在室温下对不同厚

表 3-1 两实验室对比测试四种材料的固
在各向同性石墨的情况下(其显示出室温附近热扩散系数的强温度依赖性),从具有最大温升的温升曲线计算的表观热扩散系数比使用外推法估计的固有值小3%。由于NMIJ和LNE估计热扩散系数测量的典型不确定度约为2~3%,因此这种误差就非常明显。结果表明,外推法有助于获得固有热扩散系数,同时避免测量过程中由于样品温度变化造成的偏差。通过对两种半透明性材料(3YSZ和Si3N4)的测试对比,也证明了外推法有助于检测热扩散系数的估计值是否正确,并具有识别材料任何潜在半透明效应的功能。
通过上述NMIJ和LNE这两个国家计量机构对四种固体材料进行的热扩散系数测量,验证了外推法测试技术的有效性和准确性。尽管两实验室使用了不同的测试设备和不同的温升曲线分析方法,但两实验室测量的热扩散系数依然显示出很好的一致性。由此可以确认,结合了外推法的闪光法热扩散系数测量,在10E-4~10E-6㎡/s范围内的热扩散系数测试可以不受测量条件、仪器、分析方法和实验室的影响。
4.总结
热扩散系数是材料固有的特性,据此,热扩散率不取决于测量条件、形状和尺寸。然而众所周知,闪光法热扩散系数测试经常受到这些因素的影响,因此外推法的出现为解决上述问题提出了一个很好的解决方案。
自2005年外推法提出以来,在国际度量衡委员会(CIPM)温度测量咨询委员会第9工作组(CCT-WG9)组织的实验室间热扩散系数对比框架内,一直采用外推法这一试验规程进行所有的对比测试[3]。经过多年的验证试验和实际测试,证明了外推法主要有以下特点和优势:
(1)外推法是一种通用性方法。在采用外推法测试材料热扩散系数过程中,尽管不同实验室和不同测试设备采用不同脉冲加热能量和不同数据处理方法会得到不同的外推斜率,反映了与测量仪器和所用评估方法相关的测量条件,但对应于固有热扩散系数的截距值与斜率无关。
(2)外推法对热扩散系数随温度变化敏感的材料更有效。从上述石墨与金属材料的对比测试可以看出,Armco铁的外推斜率要小于IG-110石墨外推斜率,石墨材料热扩散系数在对温度变化敏感的范围内,外推法对于更能显著提高测量的准确性。
(3)有助于识别潜在的材料半透明效应。采用外推法测量时,如果材料完全不透明则会得到与样品厚度无关的相同的外推值,反之则会看出明显的厚度变化所带来的半透明效应。这种功能在识别未知材料的潜在半透明性中非常有用。
(4)由于使用外推法只需在不同脉冲加热能量下进行测量,与样品厚度和数据处理方法无关,加上目前闪光法测试设备自动化程度很高,可以自动按照设定程序改变脉冲加热能量进行连续测量,因此只需选定一种厚度样品就可以快速准确的测定热扩散系数,既能保证测量准确性又能提高测试效率。另外,通过外推法还可以在大的信噪比下进行测量,解决了信噪比与测量精度的矛盾。
5.参考文献
(1)M. Akoshima, T. Baba, in Proceedings of Thermal Conductivity 28/Thermal Expansion 16, ed. by R.B. Dinwiddie, M.A. White, L. McElroy (DEStech Publications, Lancaster, 2006), p. 497–506
(2)Akoshima M, Hay B, Neda M, et al. Experimental verification to obtain intrinsic thermal diffusivity by laser-flash method[J]. International Journal of Thermophysics, 2013, 34(5): 778-791.
(3)Akoshima M, Hay B, Zhang J, et al. International comparison on thermal-diffusivity measurements for iron and isotropic graphite using the laser flash method in CCT-WG9[J]. International Journal of Thermophysics, 2013, 34(5): 763-777.
转载请注明出处。








相关文章
热门资讯
精彩导读



















关注我们




