据《为题发表于Nanomaterials》报道,中国科学院上海光学精密机械研究所薄膜光学实验室在飞秒激光制备负折射光学超材料方面取得进展。
近期,中国科学院上海光学精密机械研究所薄膜光学实验室在飞秒激光制备负折射光学超材料方面取得进展,相关研究成果以“Fast Fabrication of Fishnet Optical metamaterial based on Femtosecond Laser Induced Stress Break Technique”为题发表于Nanomaterials上。


光学超材料在多个领域都有着广泛应用前景。光学超表面可以利用光在亚波长表面的相位突变,实现光和电磁波的操纵和调制。飞秒激光加工技术具有加工速度快,无需掩模版,可在室温下加工,可加工透明和超硬材料,成本低等优点,可实现光学波段超材料和超表面的快速制备。

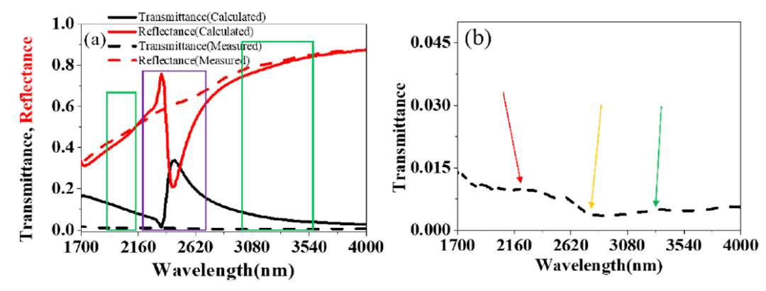
研究人员利用飞秒激光直写的方式快速制备了一种圆形渔网结构的负折射超材料,并揭示了飞秒激光与金属-介质-金属渔网结构同时存在热熔融和应力破坏两种相互作用机理。其中,热熔融过程主导了飞秒激光与金属的相互作用,导致上层和下层金属粘在一起,使磁共振不能发生。激光诱导的应力破坏过程主导了飞秒激光与介质相互作用过程,能够抑制渔网结构中的热扩散和热损伤,使上层和下层金属分开,使磁共振能够发生。利用应力破坏的优势,用飞秒激光直写背向加工技术在金属-介质-金属膜中制备出亚波长尺寸周期性孔阵列。渔网结构超表面的透射和反射谱测试表明,飞秒激光直写技术制备的渔网结构能够产生磁共振,同时证明飞秒激光诱导的应力破坏技术可用于快速制备光学超表面。

基于背面烧蚀、高数值孔径和超高斯光束等特征,利用飞秒激光诱导应力断裂技术构筑的渔网光学超材料,其分辨率和加工速度分别可以达到 500 nm和 100 单位/秒,通过分光光度计测量结果可证明在渔网纳米结构中发现了磁共振。玻璃基板上超材料的理论折射率在3225 nm波长处达到了-0.12。这项工作证实了飞秒激光便捷高效制备光学负折射超材料的可行性和广阔的应用前景。
相关工作得到了国家重点研发计划和国家自然科学基金等项目的支持。

图1 (a) 渔网结构的透射率和反射率的计算和测量,绿色框表示磁共振位置,紫色框表示电共振位置。(b)透射率曲线放大图,红色箭头为2072 nm磁共振位置,黄色箭头为2300 nm电共振位置,绿色箭头为3225 nm磁共振位置。
转载请注明出处。







相关文章
热门资讯
精彩导读

























关注我们




