引 言
现有智能机器人用直流电机作为驱动轮时一般都是用单片机或者高速的DSP等进行控制,智能机器人之所以叫智能机器人,这是因为它有相当发达的“大脑”。在脑中起作用的是中央计算机,这种计算机跟操作它的人有直接的联系。最主要的是,这样的计算机可以进行按目的安排的动作。正因为这样,我们才说这种机器人才是真正的机器人,尽管它们的外表可能有所不同。而且同一机器人往往需用多个CPU来实现各自的功能,但随着对机器人的智能化要求越来越高,需要一种新的控制器(使用一个处理器)来满足机器人的各种行为要求,例如视频采集、无线通信。本文介绍的利用ARM实现的智能机器人平台,为智能机器人的开发提供了一个新方法。Linux的引入使其他智能模块都以设备的形式存在,只有在用户需要的时候才调用相关设备驱动从而使数据融合更方便,运行多任务也更稳定。
利用ARM和嵌人式Linux作为智能机器人平台具有很大的优势,但在国内还未发现用该平台开发智能机器人的系统。本设计完成了对该系统驱动的初步编写,并通过实际验证,取得了良好效果。
1 驱动电路及测速方法
1.1 总体结构及驱动电路
系统的整体结构框图如图l所示。

本设计采用的LMD18200的真值表如表1所列。通过ARM的I/0口(例如D口的DO~3)来控制电机的工作状态。

1.2 测速方法
ARM没有捕获外部脉冲的计数器,它的定时器是用来计算内部脉冲的。码盘输出信号接外部中断处理程序(EINTl)并设置上沿触发变量,在中断中设置一全局变量i,用i++累加。设置定时器timer0,使它O.36 s产生1次内部定时器中断。当一个定时器周期完成时引发定时器中断,在timer0中断中读出i的值,即得到O.36 s内码盘转动所产生的脉冲数;接着将i清零,为下一个定时器周期捕获脉冲作准备。
1.3 测量精度分析
智能机器人选用的光码盘精度为256线,即256脉冲/转。电机减速比为1:71,车轮半径R为6 CM,车轮间距为41.1 cm.车轮转一圈所产生的脉冲数n=71×256=18 176,可以得到每个脉冲之间的距离d=27πR/n=2×3.14×0.06/18 176=0.207×10-4m,即每个脉冲对应的控制精度达0.02 mm.考虑到负载变化的影响,理论值与实际值会出现误差,因此在控制精度d前乘以一个修正系数k.表2为机器人直线行走的实验数据。可以看出,k为1.10误差较小,最接近真实值,因此该值就是所需的比例系数。
2 速度调节
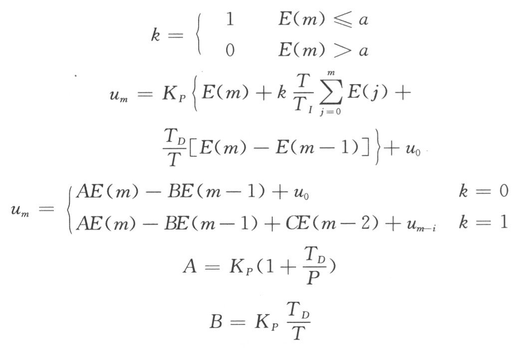
一般的PID调节,PID调节是工业控制中应用最广泛的一种调节方式,在各种自控书籍及资料中,也经常看到PID这个字眼,那么什么是PID调节呢,PID是英文单词比例(ProportiON),积分(Integral),微分(Differential coefficient)的缩写。PID调节实际上是由比例、积分、微分三种调节方式组成,它们各自的作用如下:比例调节作用:是按比例反应系统的偏差,系统一旦出现了偏差,比例调节立即产生调节作用用以减少偏差。比例作用大,可以加快调节,减少误差,但是过大的比例,使系统的稳定性下降,甚至造成系统的不稳定。当偏差E较大时(如启动或大幅度提速时),由于积分的作用会产生很大的超调量,使系统振荡,因此选用积分分离的方法,开始时取消积分作用,直到被调量相差不多时才引入积分作用。具体步骤如下:
①设定一个值a>0,E(m)一R(m)一M(m),其中R(m)为给定值,M(m)为测量值;
②当E(m)≥a时,采用PD控制,可以避免过大的超调,又可以使系统有较快的响应;
③当E(m)≤n,即偏差值E(m)比较小时,采用PID控制,可以保证系统的精度。

使用积分分离方法后显着降低了被控变量的超调量并缩短了过渡时间,使调节性能得到改善。
3 驱动设计
本系统的驱动设计如图2、图3、图4所示。


设备驱动程序是操作系统内核与机器硬件之间的接口。它作为应用和实际设备之间的软件层,为应用程序屏蔽了硬件的细节。对于应用程序,硬件设备只是一个设备文件,应用程序可以像操作普通文件一样对硬件设备进行操作。把数据从内核传送到硬件和从硬件读取数据,读取应用程序传送给设备文件的数据和回送应用程序请求的数据,检测和处理设备出现的错误。用到的结构如下:

设备打开的时候就会调用dcmotor__open函数进行申请中断号。带内存管理的单元的地址映射,设置B端口的2、3引脚为PWM输出,端口D配置为电机使能刹车制动引脚。


以下所有的函数都是在ioctl()中实现的。在Dcmo-tor_STart里调用timer0_2_3_start(),设置timer0为接收两路电机的码盘信号,并检测电机速度;timer2、timer3提供2路PWM输出,并设置定时器自动重载。具体实现如下:

Select_Speed可以动态选择要运行的速度。它是用户的接口,用户可以调用该函数把速度值传到驱动从而控制电机。例如,在应用程序中执行ioctl(fdl,

timer0中断是核心程序,它可根据PID的调节值来改变占空比。为了便于随时改变占空比的值可定义两个全局变量tmp2、tmp3,通过把它们的值写入TCMPB来改变占空比。
#p#分页标题#e#
在All_Forward、All_Back、All_Stop中,通过设置端口DO~3的高低电平,实现前进、后退、停止;在Left_Curve、Right_Curve中,设置左右轮的旋转方向,使两轮旋转方向不同,再根据差速在应用程序中给定预定时间,以达到转弯效果。
4 结 论
利用ARM和Linux操作系统实现智能机器人的闭环控制是可行的,闭环控制是控制论的一个基本概念。指作为被控的输出以一定方式返回到作为控制的输入端,并对输入端施加控制影响的一种控制关系。在控制论中,闭环通常指输出端通过"旁链"方式回馈到输入,所谓闭环控制。输出端回馈到输入端并参与对输出端再控制,这才是闭环控制的目的,这种目的是通过反馈来实现的。而且可以充分利用ARM的强大功能实现其他智能模块的扩展。
转载请注明出处。





相关文章
热门资讯
精彩导读

































关注我们




