-
我国“全固态激光治疗血管瘤设备”课题获突破
在十一五863计划全固态 激光器 及其应用技术重点项目的支持下,中国人民解放军总医院承担的全固态 激光 治疗血管瘤设备课题取得重要突破,研制出国内首台全固态连续激光鲜红斑痣治疗仪...
2012-01-07 -
“全固态激光治疗血管瘤设备”课题获突破
在十一五863计划全固态 激光器 及其应用技术重点项目的支持下,中国人民解放军总医院承担的全固态 激光 治疗血管瘤设备课题取得重要突破,研制出国内首台全固态连续激光鲜红斑痣治疗仪...
2012-01-05 -
激光旋转激光打标机的特点
旋转 激光打标 机就是对圆柱体圆周性产品进行激光打标,性能特点如下: 1.DP-A50型及YLP-A10型激光打标机采用进口高速振镜扫描系统,具有高速度、高精度的特点; 2.增加了旋转装置具有平...
2012-01-04 -
美军更青睐固体激光器
美国国防部终止了ABL空基反导防御 激光器 研发计划。据《航空周刊》报道,该激光器研发计划已经进行了16年,美国军方为此已耗资50亿美元。终止该项目的原因是其成本太高,而美国现在必...
2011-12-29 -
我国激光加速-强场物理研究取得重要进展
北京大学核物理与核技术国家重点实验室应用物理与技术研究中心颜学庆教授、陈佳洱院士、贺贤土院士与合作者近期在 激光 加速-强场物理中又取得了重要研究进展,发表了题目为Laser Sh...
2011-12-29 -
我国将淘汰普通YAG激光打标机
我国首批YAG激光打标机设备出现于2001年2月18日,国家发改委在其网站上公布了《中国逐步淘汰YAG激光打标机设备(征求意见稿)》。按照意见稿,我国将从今年10月1日起的1个月内,逐步淘汰普...
2011-12-27 -
新型固体激光器
二十世纪八十年代以来,固体激光器的发展比较快,出现了几种带有方向性的新型固体激光器,这就是半导体激光器泵浦的固体激光器、可调谐固体激光器和高功率固体激光器。 1 .半导体激...
2011-12-27 -
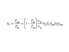
固体激光器的输出特性
考虑到固体激光器的应用特点,只介绍它的脉冲特性和转换效率。 1 . 固体激光器的激光脉冲特性 脉冲激光器工作在非连续输出的非稳态,其工作过程不能用 2.2 节中给出的稳态速率方程描述...
2011-12-27
排行榜
华体会联盟hth
关注我们





















