1.半导体激光器的基本结构和工作原理
图(1)示出了GaAs激光器的结构。它的核心部分是p—n结。p—n结的两个端面是按晶体的天然晶面剖切开的,称为解理面,该二表面极为光滑,可以直接用作为平行反射镜面,构成谐振腔。上下电极施加正向电压,使结区产生双简并的能带结构及激光工作电流。激光可以从一侧解理面输出,也可由两侧输出。

图(1)GaAs激光器的结构
2.半导体激光器工作的阈值条件
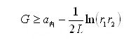
激光器产生激光的前提条件除了粒子数发生反转还需要满足阈值条件,即谐振腔的双程光放大倍数大于1,或增益系数满足第二章中给出的(1)式
(1)
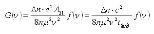
在这里,α内是半导体激光器谐振腔的内部损耗,L为晶体两解理面之间的长度,r1和r2为解理面的反射率。增益系数和#p#分页标题#e#粒子数反转的关系也取决于谐振腔内的工作物质,满足(1-90)式。结合(1-42)和(1-27)式,可以得到
(2)
式中t复合为结区电子的寿命,其倒数等于在E2、E1能级之间的爱因斯坦自发辐射系数,△n为粒子数反转值。
3.半导体激光器的阈值电流
半导体激光器作用区的粒子数反转值难于确定,但是可以将它与工作电流I联系起来。在低温下,假设在一定的时间间隔内,注入激光器的电子总数与同样时间内发生的电子与空穴复合数相等而达到平衡,则有
式中w和d分别为晶体的宽度和作用#p#分页标题#e#区的厚度。代入(2)式得
(4)
为通过作用区的电流密度。结合(2-36)式并将f(v)近似为1/△v,可以得到阈值电流密度的近似表达式为
(5)
例如,GaAs激光器,△v=3×106MHz,
,λ=0.84ηm,μ=3.35,d=2ηm,代入上式得到J阈∽150A/cm2。此值与低温时的实测值很接近,但是与室温下的阈值电流密度(3~5#p#分页标题#e#×
转载请注明出处。







相关文章
热门资讯
精彩导读
























关注我们




